Dvosobni stanovi novogradnja Makarska

Značajke

  • Balkon
  • Energetski certifikat
  • Garažno mjesto
  • Internet priključak
  • Klimatizacija
  • Lift
  • Novogradnja
  • Opremljeno
  • Podno grijanje
  • Pogled na more
  • Stambena gradnja
  • Visoki stropovi
  • Vlasnički list

Pregled

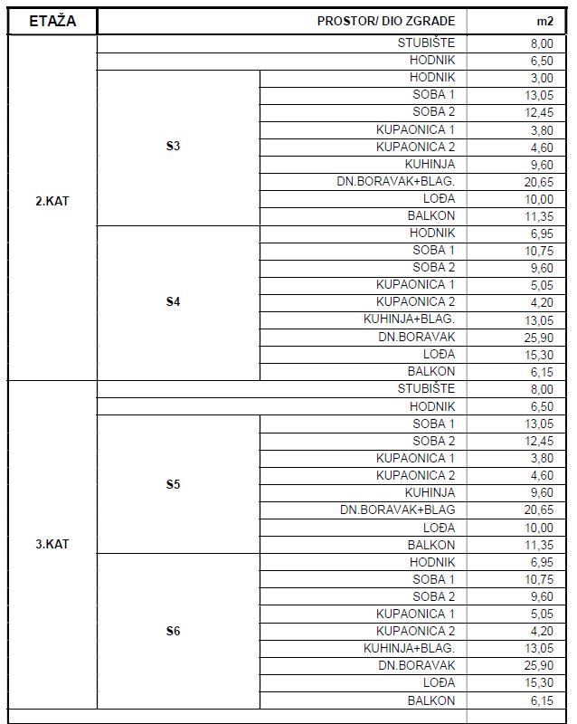
Dvosobni stanovi u manjem stambenom objektu u Zadarskoj ulici u Makarskoj, čija je gradnja započela u 12. mjesecu 2025. godine. Stanovi su južno orijentirani te su ukupne stambene površine 80,32m i 81,35m2. Stanovi će se sastojati od hodnika, dvije prostrane spavaće sobe, dvije kupaonice, kuhinje s blagovaonicom te dnevnog boravka s izlazom na južnu lođu i balkon površine 22,35 za stan od 80,32m2 i površine 19,75m2 za stan od 81,35m2. Sam objekt se gradi po najvišim stadardima dok če se u opremanju koristiti materijali i oprema renomitanih proizvođača. Završetak gradnje se očekuje do 01.12.2026. godine

Plans

GARAZE.jpg

1 KAT STANOVI.jpg

2 KAT STANOVI.jpg

3 KAT STANOVI.jpg

POVRSINE.jpg

POVRSINE 2.jpg

  • ID: 14732
  • Views: 450